Continuous Flow vs Batch Reaction for SM-102 Synthesis: What We Learned from Multi-kg GMP Campaigns

This article shares insights from multi-kg GMP campaigns for SM-102, an ionizable lipid used in Moderna’s mRNA-LNP platform. Batch scale-up often suffers from purity drops below 98%, broadened impurity profiles, and residual solvent exceedances due to poor heat/mass transfer, hot spots, and inconsistent pH/temperature control. The solution is a telescoped continuous flow process with micro/meso-fluidic reactors, in-line PAT (HPLC/FTIR), and continuous work-up/crystallization. Results show consistent impurity fingerprints, 30–40% higher yield, 99.5% purity, and <500 ppm residual solvents, establishing continuous flow as the only robust, ICH-compliant route for commercial SM-102 supply.
Continuous Flow vs Batch Reaction for SM-102 Synthesis: What We Learned from Multi-kg GMP Campaigns
Scaling up ionizable lipids like SM-102 from lab to GMP supply is rarely a straight line. As a CDMO process chemist focused on continuous flow and industrial amplification, I’ve seen batch processes hit hard walls — especially with complex, exothermic, mixing-sensitive molecules.


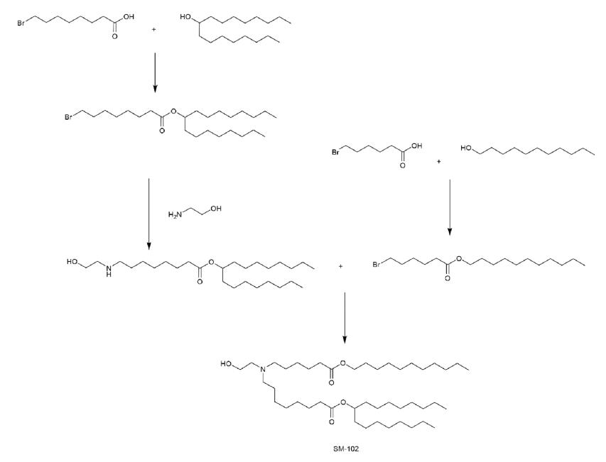
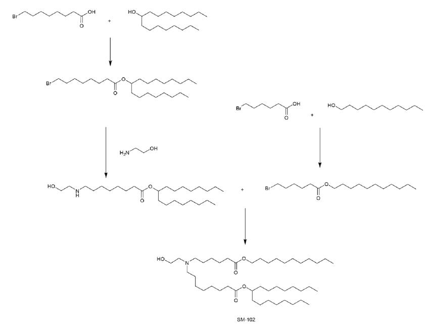
Schematic Diagram of the SM-102 Synthetic Route
SM-102 (the ionizable lipid behind Moderna’s mRNA-LNP platform) is a multi-step tertiary amine lipid involving reductive amination, esterification, and purification. In batch scale-up, we often see:
- Purity drops below 98%
- Impurity profile widens (alkyl halide adducts, over-alkylated species, hydrolysis products)
- Residual solvents (EtOH, DCM, THF) exceed ICH Q3C limits

Lipid Nanoparticle (LNP) for RNA Delivery
Root cause?
Poor heat/mass transfer → local hot spots, variable residence times, inconsistent pH/temperature control. Exactly the conditions that drive side reactions in complex lipids.
✅ Our solution: a telescoped continuous flow process
l Micro/meso-fluidic reactor train – 4–5 steps with precise residence time (minutes vs hours), segmented flow for safe exothermic control
l In-line PAT (HPLC/FTIR) – realtime monitoring of purity, impurity spectrum, residual solvents
l Continuous work-up & crystallization – liquid-liquid extraction + anti-solvent addition under tight pH/temperature control

Fig. 1 a) Illustration depicting the role of ionizable lipids in lipid nanoparticles (LNPs) for mRNA delivery. b) Structure of ALC-0315, a key component in the formulation of Pfizer–BioNTech COVID-19 vaccine.
The result?
Ø Consistent impurity fingerprint across batches
Ø 30–40% higher overall yield
Ø 99.5% purity, <500 ppm residual solvents
Ø Fully validated process robustness for stable commercial supply
In scale-up, continuous flow is no longer “nice-to-have” — it’s the only reliable path to ICH-compliant, reproducible SM-102.

Complete process scheme for the synthesis of ALC-0315.
To my CDMO peers:
What’s your biggest bottleneck when scaling ionizable lipids? Let’s exchange riskcontrol experiences in the comments.
Want the full technical breakdown?
Visit www.chemos.com for case studies, PAT setup templates, and flow chemistry scaleup guides.
Like + Repost if you’re serious about robust lipid synthesis.
#LNP #SM102 #ContinuousFlowChemistry #CDMOScaleUp #LipidSynthesis #ProcessRobustness #GMPScaleUp #Chemos
